traffic-control
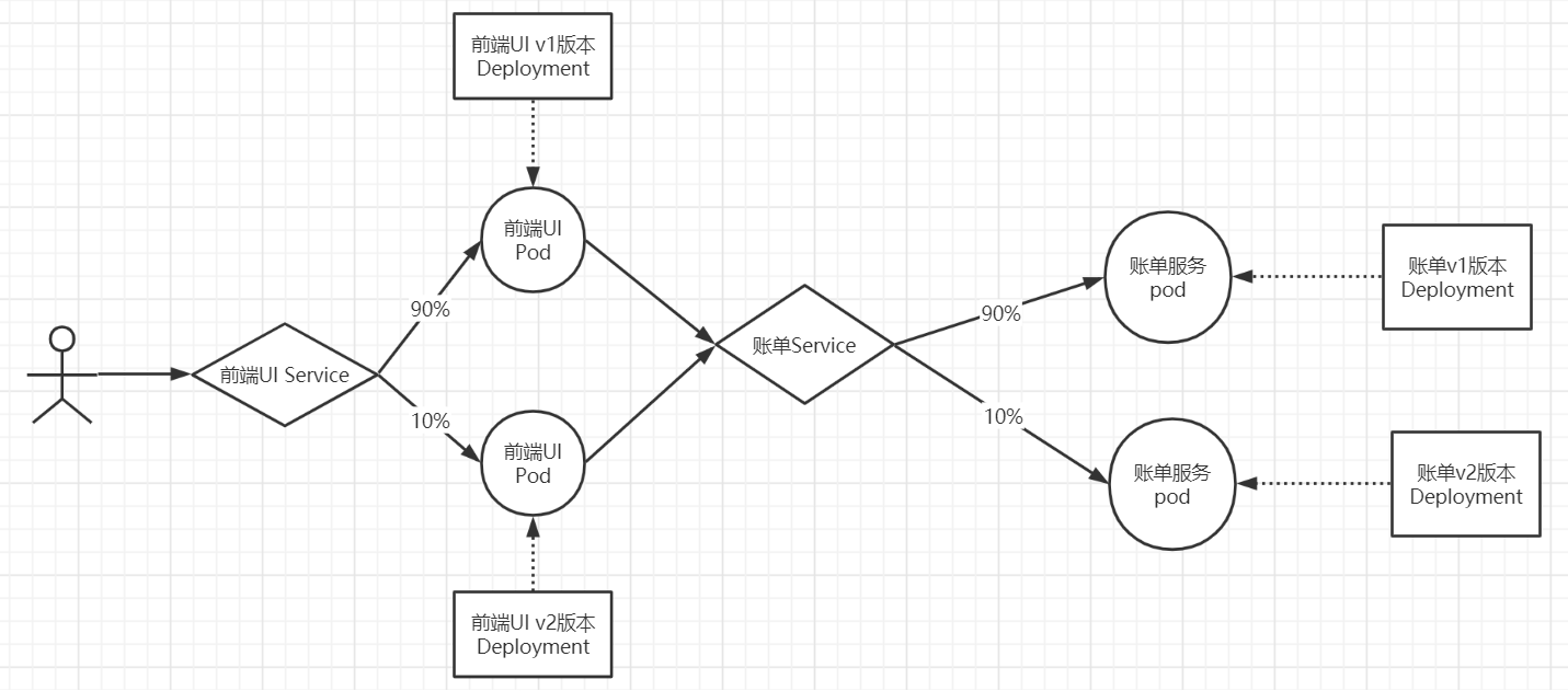
场景三
模型图

资源清单
front-tomcat-service.yaml
apiVersion: v1
kind: Service
metadata:
labels:
app: front-tomcat
name: front-tomcat
namespace: istio-demo
spec:
ports:
- name: http
port: 8080
protocol: TCP
targetPort: 8080
selector:
app: front-tomcat
type: ClusterIP
front-tomcat-v2-dpl.yaml
apiVersion: apps/v1
kind: Deployment
metadata:
labels:
app: front-tomcat
version: v2
name: front-tomcat-v2
namespace: istio-demo
spec:
replicas: 1
selector:
matchLabels:
app: front-tomcat
version: v2
template:
metadata:
labels:
app: front-tomcat
version: v2
spec:
containers:
- image: consol/tomcat-7.0:latest
name: front-tomcat
command: ["/bin/sh", "-c", "echo 'hello tomcat version2'\>/opt/tomcat/webapps/ROOT/index.html;/opt/tomcat/bin/deploy-and-run.sh;"]
front-tomcat-virtualservice.yaml
apiVersion: networking.istio.io/v1alpha3
kind: VirtualService
metadata:
name: front-tomcat
namespace: istio-demo
spec:
hosts:
- front-tomcat
http:
- name: front-tomcat-route
route:
- destination:
host: front-tomcat
subset: v1
weight: 90
- destination:
host: front-tomcat
subset: v2
weight: 10
---
apiVersion: networking.istio.io/v1alpha3
kind: DestinationRule
metadata:
name: front-tomcat
namespace: istio-demo
spec:
host: front-tomcat
subsets:
- name: v1
labels:
version: v1
- name: v2
labels:
version: v2
$ kubectl apply -f front-tomcat-service.yaml
$ kubectl apply -f \<(istioctl kube-inject -f front-tomcat-v2-dpl.yaml)
$ kubectl apply -f front-tomcat-virtualservice.yaml